0 Lake Bluff Rd, Baxter, Tennessee 38544

TN, Baxter
$35,000
  • Closed Status
  • 198 Days Off Market Sorry Charlie 🙁
  • Land Property Type
  • 4.41 Acres Lot/Land Size
  • Mortgage Wizard 3000 Advanced Breakdown
Property Description

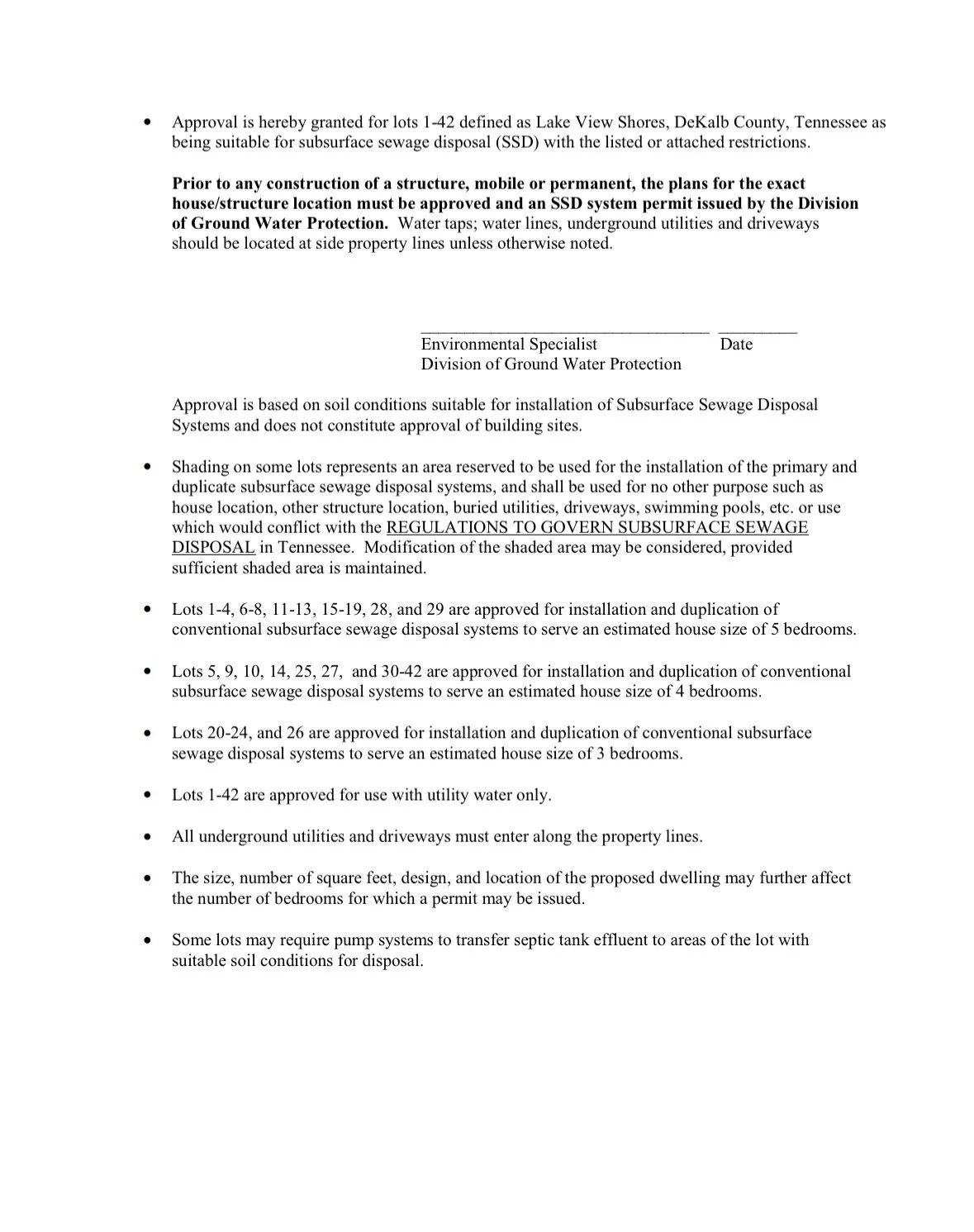
4.41 Acres with Utilities & 4-Bedroom Build Site Approval – Near the Lake

Welcome to Lot 37 in Lake View Shores, offering the rare combination of acreage, privacy, and convenience. This 4.41-acre property is already cleared at the front, making it easy to envision your future build. Utilities are ready to go with a water tap in place, and the property comes with a 4-bedroom subsurface sewage disposal (SSD) approval from the Division of Ground Water Protection, pending soil site testing. See documents in gallery for full details.

Located just minutes from the lake, this property provides the ideal backdrop for your private custom home, retreat, or investment build. With mature trees for natural beauty and privacy, yet cleared space for construction, you truly get the best of both worlds.

? Property Highlights:

4.41 acres (Lot 37 – Lake View Shores)

Partially cleared front acreage

Water tap installed

Soil site approved for 4-bedroom home (SSD permit)

Close proximity to Center Hill Lake

Room for your dream custom build or recreational escape

Motivated seller!

Whether you’ve been dreaming of a private estate, vacation home near the lake, or a long-term investment, this tract offers endless potential. Don’t miss out—opportunities like this don’t come around often!

Best way to find this is to use the neighbors address. 702 Lanis Rd. Baxter, TN, the land is connected right past and goes to the gate.

Property Details
  • Property Type: Land
  • Listing Type: For Sale
  • MLS #: 2976513
  • Price: $35,000
  • Lot Area: 4.41 Acre
  • Office Name: Coldwell Banker Southern Realty
  • Agent Name: Tabby Snyder Coldwell
  • Listing Status: Closed
Location Info
  • Street: Lake Bluff Rd
  • City Baxter
  • State TN
  • Zipcode 38544
  • County Dekalb County, TN
  • Subdivision Lake View Shores
  • Longitude: W86° 19' 2.3''
  • Latitude: N36° 1' 5.8''
  • Zoning: Residentia
  • Directions: From Nashville: I-40E towards Lebanon/Knoxville. Exit 280 for TN-56N towards Baxter/Gainesboro, turn Right onto Baxter Rd Continue straight onto Cookeville Boat dock Rd, continue onto Austin Bottom Rd, Left onto Goff Ridge Rd, Right onto Lanis Rd.
Schools
  • Elementary School: Northside Elementary
  • Middle School: DeKalb Middle School
  • High School: De Kalb County High School
Additional Info
  • Current Use: Unimproved
  • Lot Features: Rolling Slope
  • On Market Date: August 19th, 2025
  • Previous Price: $35,000
Financial
  • Annual Tax Amount: $166
Listing Data
  • Mls Status: Closed
  • Originating System Name: RealTracs
  • Special Listing Conditions: Standard
  • Modification Timestamp: Sep 30th, 2025 @ 8:48pm
  • Status Change Timestamp: Sep 30th, 2025 @ 8:47pm
mls grid

MLS Source Origin Disclaimer

The data relating to real estate for sale on this website appears in part through an MLS API system, a voluntary cooperative exchange of property listing data between licensed real estate brokerage firms in which Cribz participates, and is provided by local multiple listing services through a licensing agreement. The originating system name of the MLS provider is shown in the listing information on each listing page. Real estate listings held by brokerage firms other than Cribz contain detailed information about them, including the name of the listing brokers. All information is deemed reliable but not guaranteed and should be independently verified. All properties are subject to prior sale, change, or withdrawal. Neither listing broker(s) nor Cribz shall be responsible for any typographical errors, misinformation, or misprints and shall be held totally harmless.

IDX information is provided exclusively for consumers’ personal non-commercial use, may not be used for any purpose other than to identify prospective properties consumers may be interested in purchasing. The data is deemed reliable but is not guaranteed by MLS GRID, and the use of the MLS GRID Data may be subject to an end user license agreement prescribed by the Member Participant’s applicable MLS, if any, and as amended from time to time.

Based on information submitted to the MLS GRID. All data is obtained from various sources and may not have been verified by broker or MLS GRID. Supplied Open House Information is subject to change without notice. All information should be independently reviewed and verified for accuracy. Properties may or may not be listed by the office/agent presenting the information.

The Digital Millennium Copyright Act of 1998, 17 U.S.C. § 512 (the “DMCA”) provides recourse for copyright owners who believe that material appearing on the Internet infringes their rights under U.S. copyright law. If you believe in good faith that any content or material made available in connection with our website or services infringes your copyright, you (or your agent) may send us a notice requesting that the content or material be removed, or access to it blocked. Notices must be sent in writing by email to the contact page of this website.

The DMCA requires that your notice of alleged copyright infringement include the following information: (1) description of the copyrighted work that is the subject of claimed infringement; (2) description of the alleged infringing content and information sufficient to permit us to locate the content; (3) contact information for you, including your address, telephone number, and email address; (4) a statement by you that you have a good faith belief that the content in the manner complained of is not authorized by the copyright owner, or its agent, or by the operation of any law; (5) a statement by you, signed under penalty of perjury, that the information in the notification is accurate and that you have the authority to enforce the copyrights that are claimed to be infringed; and (6) a physical or electronic signature of the copyright owner or a person authorized to act on the copyright owner’s behalf. Failure to include all of the above information may result in the delay of the processing of your complaint.

Back to top